Solid State Interconversion of Tetra(2-pyridyl)pyrazine Polymorphs

Rosa D. Bailey#; M. Grabarczyk##; T. W. Hanks##*; Elaine M. Newton#; William. T. Pennington#*

Department of Chemistry, Hunter Chemistry Laboratories, Clemson University, Clemson, S.C. 29431 and Department of Chemistry, Furman University, Greenville, S.C. 29613.


Introduction

First synthesized by Goodwin and Lions [1], 2,3,5,6-tetrakis(2´ -pyridyl)pyrazine (tpp) is a tridentate aromatic nitrogen-heterocyclic ligand which has attracted recent attention for its ability to bridge two metal centers [2]. The molecule is also of interest for its ³ proton-sponge² properties [3]. Our interest in this compound began during a search for aromatic ³ connectors² for polymetallic systems which would allow good metal-metal electronic interaction [4]. More recently, we have prepared a number of bimetallic systems in which tpp serves as a bis-tridentate bridging ligand [5]. We were also interested in this compound for its potential to form charge-transfer complexes which, due to the additional and more basic donor sites, might form complexes possessing more interesting extended structure than those formed by the simple diazines that we had previously studied [6]. During the course of our studies of tpp bimetallic systems, we [7] and others [8] observed that tpp was polymorphic, crystallizing in both a tetragonal form, 1, [8] and a monoclinic form, 2, [3]. In this paper we comment on the conditions required for isolation and interconversion of the two forms. Unexpectedly, results from our investigations of charge-transfer complexes, have proven pertinent to this work.

Experimental

General

Tpp was purchased from GFS Chemicals, Columbus OH, and was purified by recrystallization as described below. Iodine was purchased from Fisher Scientific Co., Fair Lawn NJ, and was resublimed prior to use. Solvents were obtained from commercial houses and were dried and purified by standard techniques and stored over activated sieves. Powder diffraction spectra, used to identify solid phases in bulk and to monitor interconversion of polymorphs, were measured on a Scintag XDS/2000 theta-theta diffractometer with Cu Ka1 radiation (lambda = 1.54060 Å ) and an intrinsic Germanium solid-state detection system. Far IR and IR spectra were obtained as nujol mulls in sealed polyethylene bags on Nicolet 20F and 510 spectrometers, respectively. NMR spectra were acquired on a Bruker AC300 spectrometer equipped for subambient temperature control and using CDCl3 as a solvent. Carbon, hydrogen, nitrogen analyses were performed by Atlantic Microlabs, Norcross GA.

Crystallization of tpp

Crystals of both forms were grown by dissolving a small amount of tpp (approximately 0.1 g) in the minimum amount of solvent needed, followed by filtration into a small beaker which was then covered with tissue paper secured by a rubber band. The solution was then placed in a stable location and allowed to evaporate to dryness. The resulting solid was characterized by powder diffraction analysis of a lightly ground sample (Fig. S1 and S2). Variations on this technique included evaporation of the solvent at a variety of temperatures (0 š , 21 š , 59 š and 83 š C) and attempted seeding of saturated solutions with either of the two polymorphs.

Figure 1: Crystals of the tpp polymorphs.

The two polymorphs can be easily distinguished by visual inspection; the tetragonal form, 1, grows as blocky, multi-faceted crystals (external form 4/m) with a slight yellow color, while the monoclinic phase, 2, forms absolutely colorless parallelepiped crystals (external form 2/m). In Figure 1, the larger crystal is the tetragonal form 1.

Preparation of tpp· I2

The tpp· I2 complex was prepared in nearly quantitative yield by mixing stoichiometric amounts of finely ground tpp with I2 in a sealed vial; larger I2/tpp ratios had no effect on the complex formed. In a typical reaction approximately 0.20 g of either tetragonal or monoclinic tpp (prepared by recrystallization and visually inspected for purity of the polymorphic form) was lightly ground and placed in a vial with a slight excess of iodine crystals (0.15 g). The vial was stoppered and sealed with parafilm. Formation of a reddish-brown powder begins immediately; the reaction was monitored periodically by removing small portions for powder diffraction analysis and was found to be complete in approximately 24 hours (typical yield, 95%). Any excess of I2 in the reaction was adsorbed onto the plastic stopper of the sample vial (excess iodine in I2/tpp molar ratios of 2, 3 and 4 were also tried).

Diffusion of I2 into a chloroform solution of tpp was also found to give the 1:1 complex [9]; however, slow evaporation of this solution gives deeper red crystals of an additional product, identified as tpp· 2I2 [10a]. This latter complex is the sole product of diffusion of I2 into a methylene chloride solution of tpp. When ethanol is used as the solvent a complex mixture of polyiodide salts is formed; in these complexes the tpp molecule is protonated, presumably by water in the solution, at two of the pyridyl nitrogen atoms [10b]. For tpp· I2: IR (nujol, cm-1) 2900 (s), 1461 (s), 1377 (m), 730 (s). Far IR (nujol, cm-1) 634 (w), 547 (m), 406 (w), 172 (s), 100 (m). Anal.: (C24H16N6I2) Calc.: C,44.88%; N, 13.09%; H, 2.51%. Found: C, 47.07%; N, 13.58%; H, 2.56% (the observed deviation in these values is presumably due to loss of I2 from the sample prior to analysis).

Interconversion of Polymorphs

The tetragonal to monoclinic phase transformation was accomplished by slowly heating small portions of the tetragonal phase to approximately 275 š C in a melting point apparatus. During this process, the samples were visually monitored for completion of the phase transformation, and removed from the device prior to the onset of melting. This process was completed until a large enough quantity of transformed tpp had been accumulated for powder diffraction analysis.

The monoclinic to tetragonal phase transformation was accomplished by simply opening a container of the metastable tpp· I2 complex to the atmosphere for approximately one full day. The diffusion of iodine from the complex could be accelerated by warming the solid and/or applying a slight vacuum; this also resulted in a cleaner final product.

Thermal Analysis

Thermal gravimetric analysis of tpp· I2 was performed on a Perkin-Elmer Series 7 analyzer with the TGA7 software package. The sample had a mass of approximately 10 mg and all calculations were performed on data represented as percent loss of starting mass. For the onset calculation, the sample was heated at a constant rate of 5 š C/min from 25 š C until all of the material had evaporated. Mass loss and onset calculations were performed by standard methods.

Differential scanning calorimetry investigations of tpp were performed on a Perkin-Elmer Series 7 DSC with the DSC software package. A 2.29 mg sample was spread in a thin layer across a high pressure, stainless steel cell and heated at 1.0 š C/min from 240 to 275 š C, then cooled and reheated at the same rate over the same temperature range. Onset calculations were performed by standard methods.

Molecular Modeling

All calculations were performed on a CAChe Scientific Molecular Modeling workstation. Semi-empirical molecular orbital calculations were performed using the CAChe implementation of MOPAC 6.0 using the PM3 Hamiltonian [11] and standard parameters. Molecular geometries for the entries in Table 1 and 2 were obtained by PM3 geometry optimization using the BFGS minimization strategy. Initial geometries for structures 3-6 (Table 1) were taken from the X-ray structures 1 and 2 as indicated. Initial geometries for structures 8-12 were generated by adding I2 to structures 1 or 2 at the positions indicated. Predicted enthalphies of reaction were calculated by comparing the MOPAC heat of formation of structures 8-12 with the sum of the calculated heats of formation of the starting tpp rotomer plus that of I2.

The transition state structure of the tpp solid-state rearrangement was also performed with MOPAC, using a saddle calculation. The transition state geometry was calculated from the crystal structure geometries 1 and 2 and assuming a concerted rotation of the four pyridine rings.

The energy map of dipyridylpyrazine (dpp, Fig. 3) was obtained by modifying the coordinates of 1 by replacing the pyridyl rings on one side of the molecule with hydrogens. The pyrazine-pyridine bond of one of the remaining pyridyl rings was then rotated in 5š increments, beginning with the pyridyl ring co-planar to the pyrazine. The remainder of the molecule was optimized at each step. The data for 73 steps were calculated, giving a complete rotation of the ring. The ³ maintain geometry² keyword was used in order to insure the molecule remained in an optimal view geometry while displaying the energy map with the CAChe Visualizer routine. The screen information was captured with the program Spectator. The animation was then annotated and optimized for presentation with Quicktime applications.

Results and Discussion

Crystallization of tpp

Crystallization of tpp from a variety of solvents revealed a strong relationship between the polymorph formed and the nature of the solvent. All of the solvents used, except for methylene chloride, gave one polymorph as the dominant crystalline product (~95%, determined by visual inspection and powder diffraction analysis). The tetragonal polymorph of tpp was obtained from ethanol and acetonitrile, while the monoclinic form was obtained from toluene, and benzene. The results obtained from all of these solvents were found to be independent of the polymorph used as the solute, and the crystallization temperature, and were unaffected by the presence of seed crystals of either form.

Methylene chloride was found to yield a mixture of the two forms, and chloroform produced large well-formed platey crystals, presumed to be solvated, as they collapsed to a microcrystalline powder of the monoclinic form when removed from the mother liquor.

Why is the Crystallization of Tpp Solvent Dependent?

Our ongoing efforts to construct novel polymers and extended solid state structures [4,5] with tpp have required us to develop a model of the ligand in order to better predict structural and electronic properties of the systems we might design. To this end, we ran a series of semi-empirical molecular orbital calculations. Table 1 lists the calculated heats of formation for the tpp polymorphs in gas and aqueous phases.

Table 1. Calculated Heats of Formation
Structure Tetragonal tpp (in water) Monoclinic tpp (in water)
Compound #3456
 Hš f (kcal/mol) 173.9 176.0 150.7 150.5

Structures 3 and 4 of Table 1 were obtained by performing an energy minimization of the polymorphs 1 and 2 respectively. The geometry minimization resulted in structures only slightly different from the respective starting rotomers. We observe a small, but significant energy difference between the two forms. MOPAC predicts that the monoclinic polymorph will be approximately 2 kcal/mol lower in energy than the tetragonal in the gas phase. If the MOPAC energy minimization is run so as to simulate the environment of a polar solvent (see experimental section for details) the difference in energy between the two forms becomes negligible (structures 5 and 6).

A separate observation is pertinent: When dissolved in chloroform solution, polymorphs 1 and 2 give identical H1-NMR spectra. The rotomers either rapidly interconvert or exist in some intermediate conformation, even on cooling to -78 š C. The lower calculated heat of formation of the monoclinic rotomer, 4, suggests that in non-polar solvents, this conformation is more heavily populated than any ³ tetragonal-type² conformation. Our observation that monoclinic tpp, 2, is preferentially grown from non-polar solvents can be explained simply by energetic considerations. In polar solvents, relative proportion of rotomers is determined by solvent effects which may not be adequately addressed by our model, or by other effects [17]. It is likely however, that the greater stability of the tetragonal packing results in preferential crystallization of 1 in polar solvents.

Structures of the two forms of tpp

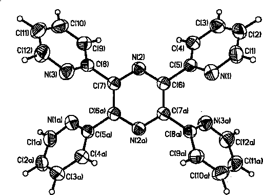
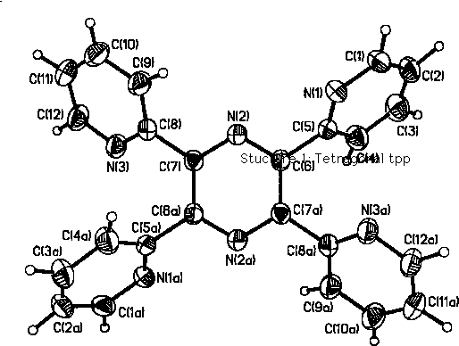
Structure determinations of both 1 [3] and 2 [8] have been reported. Although the structural description of the monoclinic form was brief, the report of the tetragonal form was more thorough and included details of a redetermination of the monoclinic form. This paper also provided an extensive comparison of the two forms of tpp with structures of related compounds, 2,3-bis(2´ -pyridyl)pyrazine (dpp) [12], and 2,3-bis(2´ -pyridyl)quinoxaline (dpq) as both the pure compound (dpq) [13] and as an uncomplexed guest molecule with [Cu(dpq)2Br](HSO4) (dpq´ ) [4b]. We have also determined the structures of both 1 and 2 (details included as supplementary material), and have found our results to be identical to those of reference [8].

An interesting feature of the two forms of tpp, which was not explored in any of the previous reports, is the orientation of the pyridine rings with regard to the position of the pyridyl nitrogen atoms. The major difference between the tetragonal and monoclinic forms of tpp involves this aspect of the structure. The tpp molecules in both forms possess crystallographic Ci symmetry, but in the tetragonal form, the pyridyl nitrogen atoms of adjacent pyridine rings lie on the same side of pyrazine ring plane in an endo, exo-conformation, while in the monoclinic form the rings are rotated so that these atoms lie on opposite sides of the pyrazine plane in an endo, endo-conformation. As has been previously noted [8], the tetragonal form of tpp and dpq´ have similar dihedral angles and N--N distances; dpq´ also has a similar ring orientation as both of the pyridine nitrogen atoms are on the same side of the quinoxaline ring plane (Fig. S3)). The monoclinic form of tpp, dpp and dpq also have similar dihedral angles and N--N distances, and all have the nitrogen atoms of adjacent pyridine rings on opposite sides of the diazine ring plane (Fig. S4).

Interconversion of Polymorphs

During routine characterization of 1, it was observed that upon heating, the crystals underwent a violent solid-state phase transformation just prior to melting (Fig. 2). This observation led to an investigation of the thermal properties of the compound. Structure 1 was heated slowly (1.0 š C /min) in a DSC. A sharp endotherm was observed with an onset of 257.4 š C (Fig. S8). The transition was found to be irreversible. No thermal event was observed on cooling from 275 to 240 š C or upon reheating to 275 š C. Larger quantities of this new material were then prepared as described in the experimental section. XRD (Fig. S5) revealed that this material was identical to that of independently prepared 2.

Figure 2: Video clip of tpp phase transition in a capillary tube.

Our single crystal diffraction studies show a lower average thermal motion of the tetragonal rotomer (0.042 Å 2) as compared the monoclinic rotomer (0.050 Å 2) at room temperature. The tetragonal form is therefore the lower energy conformation at room temperature, but the relative stabilities reverse upon heating. At about 258 š C, there is sufficient energy available to the crystal that defects in the lattice are formed [14]. These disruptions are rapidly propagated through the solid, allowing rotation of the pyrazine rings and the reordering of the lattice into a monoclinic space group.

Mechanism of the Thermal Conversion of 1 to 2

While the important motions available to tpp are limited to rotations about the four pyridine-pyrazine bonds, the potential energy surface is complex and pocketed with numerous local minima. We performed a MOPAC saddle calculation to give us a better idea of the transition state between the two forms of tpp. In order to do this, we assumed that the rotation of the four rings was linear and concerted, a feat that is extremely unlikely, particularly in a solid state process where indirect trajectories may occur due to mechanical stress induced by the matrix [15]. Despite these caveats, the ³ transition state² (Structure 7) proves to be a convenient model for analyzing the reaction pathways discussed below. This structure has a center of inversion with two pyridyl rings parallel and two perpendicular to the pyrazine ring.

If we make the assumption that the pyridyl rings on opposite sides of the pyrazine interact only minimally, then the primary features of the ring rotation can be modeled by dpp. We have previously characterized dpp in the solid state, and have found its pyridyl rings to be oriented much like those of 2 [12]. We will refer to this as ³ monoclinic² form of dpp and will also discuss the hypothetical ³ tetragonal² rotomer. These terms serve to highlight the relationship between these structures and the tpp polymorphs and do not have any relation to the actual crystal system observed for dpp [12].

Figure 3 shows the energy map resulting from a MOPAC dihedral drive calculation. One of the pyridyl rings was rotated in 5 degree increments about the pyridyl-pyrazine bond, beginning from a co-planar pyridyl-pyrazine orientation. The rest of the molecule was energy minimized at each step. Figure 3 plots heats of formation vs dihedral angle.

Figure 3: Animated energy map of dpp ring rotation.

Three low energy wells are observed in this experiment. As expected, the lowest of these (by about 2 kcal/mol) corresponds to the ³ monoclinic² conformer while the other two are enantiomers of the ³ tetragonal² conformer. There is a very small energy barrier (about 0.8 kcal/mol) between these conformers. The activation enthalpy for conversion from the ³ tetragonal² to the ³ monoclinic² rotomer is also quite small, about 1.2 kcal/mol.

It is clear from Figure 3, that the highest energy conformations are those with the controlled pyridyl ring co-planar to the pyrazine. Of the two orientations having this feature, the one in which the nitrogen of the controlled pyridyl ring is turned towards the other pyridyl ring is substantially lower in energy. This orientation looks very much like that proposed in 7. By rotating one pyridyl ring into co-planarity, the other is forced into a nearly perpendicular orientation. From this, we might also conclude that anything which encourages one ring to twist towards a perpendicular orientation relative to the pyrazine might also facilitate interconversion of ³ tetragonal² and ³ monoclinic² orientations.

Synthesis and Characterization of tpp· I2

A metastable complex of tpp· I2 is formed by the solid state reaction of tpp and I2. The product formed is independent of the starting phase of tpp. This complex is also the first crystalline complex formed when I2 vapors diffuse into a chloroform solution of tpp; however, when the resulting solution is allowed to slowly evaporate, large crystals of a second complex, tpp· 2I2, are formed [10a](Fig. S6).

Although crystals suitable for a single crystal structure determination of the tpp· I2 complex have not been isolated, the elemental analysis (corrected for I2 loss, which is known to occur) agrees with our interpretation. Additionally, the Far-IR spectrum of this compound exhibits a strong signal at 172 cm-1, typical of an I-I stretching frequency for pyridine I2 complexes [16]. Thermal gravimetric analysis of this sample showed a single mass loss with an onset of 117.5 š C. In this event, 40% of the total mass was lost (calc. 39.5%).

Tpp· I2 and Ring Interconversion

Following preparation of the metastable tpp· I2 complex, it was observed that upon exposure to the open atmosphere, iodine diffused out of the crystals fairly quickly, even at room temperature. This decomposition was monitored over time by powder diffraction analysis and the product was found to be exclusively the tetragonal form of tpp, 1 (Fig. S7).

The addition of I2 to tpp has profound structural consequences. Table 2 gives the calculated heats of formation for five possible complexes between tpp and I2.

Table 2. Calculated Heats of Formation
Structure Structure 1+ I2 on endo ring Structure 1+ I2 on exo ring Structure 2+ I2 on a pyridyl ring Structure 1+ I2 on the pyrazine ring Structure 2+ I2 on the pyrazine ring
Compound #89101112
 Hš f (kcal/mol) 189.8 188.6 195.2 197.7 196.5
 Hš rxn (kcal/mol) -6.95 -8.15 +0.56 +0.91 +1.83

The tetragonal form has two different types of pyridyl rings, which will be labelled as the endo (pyridine nitrogen pointed away from the pyrazine nitrogen) and exo (pointing towards the pyrazine nitrogen) rings. Addition of I2 to either ring is predicted to be an exothermic process by about 7.5 kcal/mol (8 and 9) with coordination at the exo ring appearing to be slightly favored. In each case, steric interactions force the ring bearing the I2 into a nearly perpendicular orientation to the central pyrazine ring. Since perpendicular orientation of a pyridyl ring is required for a low energy rotation of an adjacent ring, the I2 complex would be expected to convert from one rotomer to another with relative ease. Interestingly, as the coordinated ring moves more towards a perpendicular geometry, the difference between the ³ endo² and ³ exo² coordinated forms becomes less significant. Structures 8 and 9 are essentially equivalent.

In addition to changing the geometry of the two rings on the side of the molecule coordinated to I2, the opposite side of the molecule is also affected, though to a lesser degree. For example, on coordination of I2 to an exo ring, both the coordinated and non-coordinated exo rings move into geometries closer to perpendicular to the pyrazine ring, while both endo rings become more parallel.

MOPAC calculations gave a very different result when an I2 complex is generated from the monoclinic tpp structure 2. The optimized structure is a local minima (10) that is perturbed only slightly from the starting compound. Enthalpy calculations predict that this structure is significantly higher in energy than the conformers generated from the tetragonal form and the formation of such a structure was found to be endothermic by about 0.56 kcal.

It is also conceivable that the iodine adds to one of the pyrazine nitrogens. While pyrazine· I2 complexes are known [6,10a], the pyrazine moiety does not appear to seriously compete with pyridine for I2. Structures 11 and 12 show that pyrazine· I2 coordination starting from either rotomer results in a high energy species. These will not be considered further.

We suggest that the actual solid state structure of the tpp· I2 complex is similar to that of 8 and 9 with some allowances made for packing energetics. This is supported by the TGA data and the FIR data, both of which are consistent with related azoaromatic charge-transfer complexes [7,10a]. Loss of I2 from this species would be expected to proceed with minimum disruption of the tpp ring orientation and would lead therefore, to the observed product, 1.

Conclusions

The two polymorphs of tpp have very similar molecular shapes, both possessing Ci symmetry and having ring plane dihedral angles that lie between 46.6 and 62.7š . The conformation of the rings with respect to the orientation of the pyridyl nitrogen atoms is quite different, the tetragonal form possessing and endo, exo-conformation for adjacent pyridine rings, and the monoclinic possessing an endo, endo-conformation. The solid-state interconversion of the tetragonal and monoclinic polymorphs of tpp has been accomplished through an irreversible heat-induced phase transformation for the tetragonal to monoclinic transition and by way of a metastable tpp· I2 complex for the monoclinic to tetragonal conversion. MOPAC calculations and thermal analysis have provided insight into the relative molecular and solid-state stabilities of the two forms and into the energetics of ring rotation involved in converting one form into the other. This work will assist in our efforts to design new materials based upon this and related ligands. We also are pursuing the use of metastable halogen and interhalogen complexes as a means of separating polymorphs.

Acknowledgements

The authors thank Professor Melanie M. Cooper, Professor Jeffrey R. Appling, and Timothy S. Kerns, all of Clemson University for inspiration and assistance in video imaging, and Professor John D. Petersen of Wayne State University and Professor Carolyn P. Brock of the University of Kentucky for helpful discussion. The Furman molecular modeling facility was developed with funding from the Milliken Foundation and NSF-ILI. Thermal analysis equipment was purchased with the help of the Camille and Henry Dreyfus Foundation.
keyword search Home
page