1,5-hydride shift on a side-chain substituted 27-nor-cholesterol molecule Comparing X-ray data to semiempirical quantum chemical results

Zsuzsa Szendia, Gyula Tasib, Zsolt Böcskeid, Levente Nyergesc, Péter Forgód and Frederick Sweete

a Department of Organic Chemistry, Attila József University, Dóm tér 8, H-6720 Szeged, Hungary b Department of Applied Chemistry, Attila József University, Rerrich Béla tér 1, H-6720 Szeged, Hungary c Department of Medicinal Chemistry, Albert Szent-Györgyi Medical School, Szeged, Hungary d Chinoin, Pharmaceutical and Chemical Works Co. Ltd., Budapest, POB 110 Hungary e Department of Obstetrics and Gynecology, Washington University School of Medicine, 4911 Barnes Hospital Plaza, St. Louis, MO 63110, USA


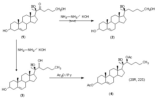
Abstract: In a base catalyzed Wolff-Kischner reduction of (20R)-27-norcholest-5-en-22-one--3,20,26-triol (1) 1,5-hydride ion shift takes place (C26----C22), and the hydrazone from the primarily formed aldehyde-alcohol decomposes into (3). From the acetylated mixture one of the diastereomers could be obtained by fractionated crystallization. The configuration of the afforded C-22 asymmetric centre in (4) was determined by X-ray crystallography (22S). The activation energies for the two transition states of the possible isomers are approximately the same, so we cannot expect one of the diastereomers in much higher amount to be formed. In practice, however 1H NMR experiments revealed a ratio 20R,22S:20R,22R=3:2.

The optimized molecular geometries of the starting material, the transition states (20R,22S,20R,22R) and the products (20R,22S,20R,22R) were determined by MNDO, AM1 and PM3 methods. The calculated and experimental molecular geometries (from X-ray crystallography) were compared.


Introduction

1,n-hydrogen shifts (n>3) are known both in heterolytic1,2,3,4,5,6 and homolytic7,8 reactions, in aliphatic alicyclyc and bridgedring systems. In case of steroids 1,5-hydrogen shift is reported only in a few cases during acid- and base-catalyzed conditions. For example 1,5-hydrogen shift was experienced in an acid-catalysed interconversion of tigogenin and neotigogenin,9 base-catalysed rearrangement was observed on compound

3-d-3-hydroxy-19a-methyl-5-androstane-17,19-dione,10 in Oppenauer oxidation of 18,20-dihydroxy steroids11 to lactone, in -hydroxy carbonyl substrates12 and in a side- chain substituted steroidal 1,5-ketol.13

The magnitude of the energy barriers for hydride shifts (1,4 > 1,3 > 1,5) is confirmed by low temperature 1H NMR experiments.14 Recently Schleyer et al performed ab initio quantum chemical calculations for 1,5- and 1,7-hydrogen shifts in hydrocarbons.15,16

Results

1. The shift reaction and identification of the products

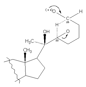
We experienced 1,5-hydride shift on (20R)-27-norcholest-5-en-22-on-3,20,26-triol (1) in Wolff-Kishner reaction in strong basic (KOH) condition in triethylene-glycol as solvent. C-22-reduced product didn't form, through a fast hydrogen shift reaction the only C-26-reduced product formed without any side-product. All the starting material completely transformed to a new steroid, to (20R),(22RS)-27-norcholest-5-en-3,20,22-triol (3). The product (3) or it's acetate (4) was purified by column chromatography. The formation of the C-22 diastereomeric mixture can only be explained by a complete shift of the hydrogen from the C-26 atom to C-22 atom, via formation of a new 1,5-ketol, bearing an aldehyde group at the end (C-26) of the side-chain. The aldehyde intermediate was comletely trapped by the hydrazine under N2. The formed 3,20,26-trihydroxy-(20R)-27-norcholest-5-en-22-one hydrazone can't be isolated, it decomposed onto the C-26-reduced product (3) on the reaction temperature. The ratio of the formed diastereomeric products was 20R,22S:20R,22R=3:2. The 1H NMR spectra showed the triplet of the newly formed methyl group at the end of the side chain at 0.88 ppm in the 20R,22S product and also in the 20R,22R product. The spectra showed also the hydrogens of C-22 at 4.80 ppm in the 20R,22S product, and at 4.84 ppm in the 20R,22R product. The peak of the carbonyl group disappeared from the IR spectra. For the separation of the diastereomers fractionated crystallization was used in their acetate form (4-20R,22RS). The main product crystallized out (4). The determination of the configurations of the products was maintained by X-ray crystallography from (4), which proved to be the 20R,22S isomer. By this method we confirmed the configuration of the C-20 carbon, what we reported to be also 20R in our starting material (1) and in it's derivatives earlier17.

Semiempirical quantum chemical calculations

For the MNDO18, AM119 and PM320 semiempirical calculations the PcMol 3.11 and MOPAC 6.0 program packages were used. The transition states on the potential energy surface (PES) were located by the EF routine of the MOPAC program

In our case only semiempirical quantum chemical methods are reliable because of the large size of the molecular system being studied. On the PES the local minima for the starting and product neutral molecules, also their deprotonated forms (obtained by deprotonation of the C22-OH and C26-OH) were determined. In case of anions we localised the transition states producing 20R,22R and 20R,22S diastereomeric products. The standard heats of formation of anionic species calculated with different methods are summarised in Table 1.


Table 1: The standard heats of formation (kcal/mol) of local minima and transition states of 1,5-hidrogen shift reaction

Method        Starting anion    Transition state                   Product anion                   
                                 20R,22R           20R,22S        20,22R         20R,22S        
AM1                -222.96       -215.07           -214.14        -235.71        -232.24        
MNDO               -148.37       -127.65           -126.67        -153.46        -151.11        
PM3                -213.63       -205.64           -205.08        -228.02        -222.16 
 

In the stationary points of the PES we calculated the Hessian matrix for determining their characters. For local minima the Hessian matrix has only positive eigenvalues, while for transition states it has only one negative eigenvalue and the others are positive. From Table 1 it is concluded, that the transition states are energetically equivalent to each other for isolated systems. The most important points of the geometries of the 20R,22R and 20R,22S transition states can be seen in Fig 1. and Fig 2. The optimized geometry parameters are listed in Table 2.
Table 2. The AM1 optimized geometry parameters of the 20R,22S and 20R,22R transition states

Geometry parameters          20R,22R                      20R,22S                      
d[C(1)-C(2)]                 1.534                        1.536                        
d[C(2)-C(3)]                 1.513                        1.510                        
d[C(3)-C(4)]                 1.516                        1.517                        
d[C(4)-C(5)]                 1.523                        1.519                        
d[C(1)-H(m)]                 1.326                        1.326                        
d[C(5)-H(m)]                 1.491                        1.504                        
d[C(1)-C(4)]                 2.807                        2.982                        
  [C(1)-H(m)-C(5)]           148.4                        150.2                        
  [H(m)-C(1)-C(2)]           92.4                         94.7                         
  [C(5)-C(4)-C(3)]           109.9                        110.9                        
  [C(4)-C(3)-C(2)]           112.7                        111.5                        
  [C(1)-C(2)-C(3)]           114.1                        112.2                        
  [H(m)-C(1)-C(4)-(C5)]      0.1                          -14.2                        
  [C(1)-C(2)-C(3)-C(4)]      -27.7                        58.0                         

In both cases the migrating H(m) hidrogen is located closer to the C(1) atom than to the C(5) atom, but the C(1)-H(m) and C(5)-H(m) distances are equal for the two diastereomeric transition states.

In the transition state of the 20R,22R isomer the calculated PEP atomic charge21 of the migrating H(m) atom is -0.22, and for the C(1) and (C5) atom +0.62 and +0.82, respectively. In the 20R,22S isomer the H(m) atom has only -0.1 charge. The negative charge of the H(m) atom shows that in our case the 1,5-H shift is a hydride transfer reaction.

(RMSD=Root Mean Square Deviation)

3. Comparing X-ray data to semiempirical quantumchemical data

(arbitrary selection)

 Bond length ()   Experimental data   Calculated data    
                  (X-ray)                                
     11-10        1.322               1.341              
      25-3        1.429               1.426              
     25-22        1.543               1.536              
     26-25        1.523               1.521              
      27-4        1.435               1.440              
     28-27        1.483               1.524              
     29-28        1.499               1.514              
     31-30        1.441               1.506              
      34-4        1.330               1.368              
      34-5        1.265               1.232              
     35-34        1.418               1.490              

 Bond angles (    Experimental data   Calculated data   
     deg.)        (X-ray)                               
    11-10-9       119.7               120.6             
    12-11-10      124.7               124.7             
    13-12-11      112.8               111.9             
    20-19-18      104.1               103.9             
    21-20-19      104.3               105.3             
    22-21-20      107.2               105.6             
    21-22-18      103.8               103.1             
    26-25-3       110.6               110.7             
    26-25-22      112.0               112.8             
    25-27-4       107.3               108.6             
    28-27-4       107.3               107.2             

References

1. Atkinson RS and Green RH (1974). 1,5-Hydride shift in acyclic systems containing -unsaturated ketones and p-methoxyphenyl groups. JCS Perkin I 394-401.

2. Atkinson RS (1969). 1,5-Hydride transfer in acyclic molecules. Chem Commun 735.

3. Cohen, T., Mc Mullen CH and Smith K (1968). A competition between bond rotations and intramolecular hydrogen atom transfer as studied by the use of isotope effects. JACS. 90: 6866-6867.

4. Pepin Y, Husson HP and Potier P (1975). Dimerisation d'un hemiacetal steroidique suivie de transferts d'ions hydrures

Tetrahedron Letters 493-494.

5. Kim JK, Pau JK and Caserio MC (1974). Intramolecular 1,6-hydride transfer in gaseous carbonium ions. JCS Chem Comm 121-122.

6. Parker W and Watt CIF (1975). Solvolitic behaviour of cis-and trans-[5- 2H1]cyclo-octyl p-bromobenzenesulphonate - a stereospecific, remote - deuterium isotope effect. JCS Perkin II 1647-1651.

7. Nedelec JY and Lefort D (1972). Reactions de transfert homolytique intramoleculaire d'hydrogene en serie aliphatique: effect de la longuer de la chaine. Tetrahedron Letters 5073-5076.

8. Milosavljevic S, Jeremic D and Mihailovic MLJ (1973). 1,5-shift of hydrogen from carbon to carbon in the lead tetraacetate oxidation of 5,5-dimethyl-2- heptanol. Tetrahedron 29: 3547-3551.

9. Woodward RB, Sondheimer F and Mazur Y (1958). The mechanism of the isomerisation of steroidal sapogenins at C-25. JACS 80: 6693-6694.

10. Wicha J and Caspi E (1973). Transformations of steroidal neopentyl systems. VII. Mechanism of the transformation of (19R)-hydroxy-19a-methyl-(5)-3- ones to 19-keto-19a-methyl-(5)-3-hydroxy analogs. J Org Chem 38: 1280- 1283.

11. Eignerová L and Kasal A (1976). Intramolecular hydride shift in Oppenauer oxidation of some dihydroxy steroids. Coll Czech Chem Commun 41: 1056- 1065.

12. Kasal A and Trka A (1977). Intramolecular hydride shift in some steroid hydroxy aldehydes and hydroxy ketones.

Coll Czech Chem Commun 42: 1389-1402.

13. Kluge AF, Maddox ML and Partridge LG (1985). Synthesis of (20R, 25R)- cholest-5-ene-3,26-diol and the occurence of base-catalyzed 1,5-hydride shift in a steroidal 1,5-ketol. J Org Chem 50: 2359-2365

14. Saunders M and Jr.Stofko JJ (1973). Intramolecular hydride shift in carbonium ions. JACS 95: 252-253.

15. Jiao H and Schleyer PR (1994). Elektrostatic acceleration of the 1-5H shifts in cyclopentadiene and in penta-1,3-diene by Li+ complexation: aromacity of the transition structures. J Chem Soc Faraday Trans 90(12): 1559-1567.

16. Jiao H and Schleyer PR (1993). A detailed theoretical analysis of the 1,7- sigmatropic hydrogen shift: the Möbius character of the eight-electron transition structure. Angew Chem Int Ed Engl 32: 1763.

17. Szendi Zs and Sweet F (1991). Novel synthesis of cholesterol analogs:Condensation of pregnenolone with dihydropyran or dihydrofuran. Steroids 56: 458-463.

18. Dewar MJS and Thiel W (1977). Ground states of molecules. 38. The MNDO method. Approximations and parameters. JACS 99: 4899.

19. Dewar MJS, Zoebisch EG, Healy EF and Stewart JJP (1985). AM1: A new general molecular model. JACS 107: 3902.

20. Stewart JJP (1989). Optimization of parameters for semiempirical methods.

J Comput Chem 10: 209-221.

21. Tasi G, Kiricsi I and Förster H (1992). Representation of molecules by atomic charges: a new population analysis. J Comput Chem 13: 371-379.

Notes: You can ask for all of the X-ray and semiempirical quantum chemical data to compare. AM1 EP and PEP atomic charges calculated for the transition states, and Wiberg indices are not listed here. Bond lengths, bond angles and torsion angles are not or only partially reported in this poster.

Please contact with your questions concerning

organic chemisry : SZENDI@chem.u-szeged.hu

SWEETF@medicine.wustl.edu

semiempirical results: Gy.TASI@chem.u-szeged.hu

X-ray results BOCSKEI@ludens.elte.hu


keyword search Home page